光学喵-光学课堂 首页 资讯 查看内容

Zemax光学设计实例(155)---一个柯克物镜的Seidel像差系数的计算

2022-4-2 15:42| 发布者:Davis| 查看:2322| 评论:0|原作者: 小小光08

摘要:This article discusses the calculation of Seidel aberration coefficients for a Cooke triplet lens using Zemax. The Lagrange invariant, spherical aberration coefficient, axial chromatic aberration coefficient, field curvature coefficient, and eccentricity

作者有话说:本文的计算还有些不完备的地方,欢迎多讨论、多指正。


引言:

Seidel像差系数中,五个单色三阶像差与两个一阶色差方程整合起来:

其中,A 等于ni ,i是近轴边际线的入射角度,A——等于 ni——i——是近轴主光线的入射角度, h是近轴边际线的高度。H是 Lagrange不变量,等于nuh=n`u`h`。

还有,

 

 

在光学设计中这七个公式非常重要。它们不仅简单易于理解,而且能够使设计者区分每个表面对特定像差的贡献量。

虽然,我们知道高级像差通常是限制镜头分辨率的主要因素,但是,对于一个具有好像质的镜头,校正以上七种像差却是必要条件。

 

柯克物镜seidel像差系数的计算过程:

以三片式的柯克物镜来举例,该实例来自ZEMAX自带的“Cooke 40 degree field”。

 

LDE结构参数如下:

2D Layout,如下图:


(1) 计算Lagrange不变量H

该柯克物镜的焦距是100mm,入瞳直径是20mm,即入瞳半径为10mm,这就是在入射面的边际光线高度,即h=10mm;

该柯克物镜的半视场角为20°,那么像的尺寸大小为100mm×tan20°=36.397023mm。

像方孔径角u`=h/f`=10/100=0.1

Lagrange不变量H=nuh= n`u`h`=1×0.1×36.397023=3.6397023

以上可以在ZEMAX MFE中直接计算与验证,如下图:

EFFL,有效焦距;

PARY,surf 1#,Py=1.0,第1面的近轴光线高度(注意:不要用REAY实际光线高度);

PIMH,近轴像平面上的近轴像高;

DIVI,操作数5除以操作数6;

PROD,操作数3乘以操作数4;

以上从而计算得到Lagrange不变量H。

再用LINV直接计算Lagrange不变量H,两者结果一致。

 

(2) 追迹一条近轴边际光线

利用以下两个公式追迹一条近轴边际光线:

例如:计算第2面的近轴光线高度h2

第1面的近轴光线高度h1=10mm,u1=0,n=1.00,n`=1.6204,c1=1/R1=1/44.027185,d1=6.517912。

n`、R1和d1的数据可以在ZEMAX LDE中得到,代入上面两式中可以求出h2=9.433185mm。

可以在ZEMAX MFE中直接计算与验证,如下图:

两者计算结果一致。

由转面公式u2=u`1=-0.08696。

通过以上计算过程,可以依次求出各个面的u和h,列表如下:

Surf #

u

h

1

0

10

2

-0.08696

9.433185

3

-0.14763

7.659390

4

-0.02514

7.609107

5

0.07552

8.326608

6

0.02660

8.483666

可以在ZEMAX MFE中验证,如下图:

 

(3) 计算折射不变量A

对于近轴边际线,我们还可以计算折射不变量A:

由已知的n、h、c和u可以求出各个面的A,如下表:

Surf #

A

1

0.227132

2

-0.158450

3

-0.320036

4

0.263015

5

0.127768

6

-0.330664

 

 

(4) 计算每个面的球差系数S1

其中,

 

由已知的n、n`、h、c、u、u`和A可以求出各个面的球差系数S1,如下表:

Surf #

S1

1

0.027686

2

0.022254

3

-0.10364

4

-0.04792

5

0.008034

6

0.107988

Total

0.014400

具体计算过程,如下图:

再与ZEMAX Seidel Coefficient中的SPHA S1对比,如下图:

可以看出,该柯克物镜的球差系数S1的计算结果基本一致。

 

(5) 计算每个面的轴向色差系数C1

其中,

由已知的n、n`、vd、v`d、h、和A可以求出各个面的轴向色差系数C1,如下表:

Surf #

C1

1

0.014416

2

0.009487

3

-0.0258

4

-0.02106

5

0.006752

6

0.017805

Total

0.001600

具体计算过程,如下图:

再与ZEMAX Seidel Coefficient中的CLA(CL)对比,如下图:

可以看出,计算结果与ZEMAX给出的结果数值相同,符号相反。

 

(6) 计算每个面的场曲系数S4

其中,

由已知的H、c和n可以求出各个面的场曲系数S4,如下表:

Surf #

S4

1

0.115203

2

0.005820

3

-0.11413

4

-0.12493

5

0.031826

6

0.137904

Total

0.051696

具体计算过程,如下图:

再与ZEMAX Seidel Coefficient中的FCUR(S4)对比,如下图:

可以看出,该柯克物镜的球差系数S4的计算结果基本一致。

 

(7) 求解每个面的离心率E

为了计算剩下的像差系数S2、S3、S5、和C2,我们需要每个表面的主光线折射不变量A——

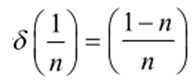
对于光学系统中的一些表面定义一个常量 E , E 通常称为离心率,如下方程:

如此定义,那么E可以测出表面到光阑的距离,因为在光阑处的 h 为零。通常,系统中每个表面的 E 都不一样。

近轴主光线入射角度A——的表达式:

只要知道一个表面的近轴边际线数据( h , u 和 A )以及常量E ,就完全确定近轴主光线的数据。

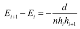
假设已知光学系统表面i和1+i的近轴边际线高度,它们分别是hi和hi+1

假设我们还知道表面i和1+i的近轴主光线的高度h——ih——i+1

 

推导得到

根据定义,在光阑处E为零,所以可以利用上式来计算靠近光阑表面的E,接着可以利用该式计算系统中的其他表面的E。

然后由各个表面的E就可以求出主光线的h——u——A——

 

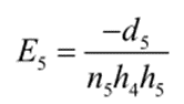
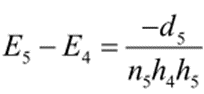
这个柯克物镜的第 4 个面是光阑面,即根据定义E4等于零。

因为E4等于零,那就有

同样地,由E5可以求解E6。至于光阑前面的表面,可以从光阑往前计算,先求E3,然后求E2,最后求E1

 

 

由已知的A、H、h和n可以求出各个面的E,h——A——,如下表:

Surf #

E

h——

A——

1

0.230116

8.375540034

-0.17373

2

0.187475

6.436773633

-0.49396

3

0.021182

0.590507365

-0.49987

4

0

0

-0.47834

5

-0.14995

-4.544573907

-0.50685

6

-0.20153

-6.222980973

-0.18647

具体计算过程,如下图:

 

(8) 计算每个面的彗差系数S2

其中,

 

由已知的n、n`、h、c、u、u`、A和A——可以求出各个面的彗差系数S2,如下表:

Surf #

S2

1

-0.021177

2

0.0693754

3

-0.161879

4

0.0871505

5

-0.031871

6

0.0608987

Total

0.0024985

具体计算过程,如下图:

再与ZEMAX Seidel Coefficient中的COMA S2对比,如下图:

可以看出,计算结果与ZEMAX给出的结果数值相同,符号相反。

 

(9) 计算每个面的像散系数S3

其中,

 

由已知的n、n`、h、c、u、u`和A——可以求出各个面的像散系数S3,如下表:

Surf #

S3

1

0.0161982

2

0.2162741

3

-0.252841

4

-0.158497

5

0.1264298

6

0.0343433

Total

-0.018093

具体计算过程,如下图:

再与ZEMAX Seidel Coefficient中的ANTI S3对比,如下图:

可以看出,计算结果与ZEMAX给出的结果数值基本一致。

 

(10) 计算每个面的畸变系数S5

 

由已知的S3、S4、A和A——可以求出各个面的畸变系数S5,如下表:

Surf #

S5

1

-0.10050956

2

0.692366188

3

-0.57316995

4

0.515460447

5

-0.62779696

6

0.097137324

Total

0.003487

具体计算过程,如下图:

再与ZEMAX Seidel Coefficient中的DIST S5对比,如下图:

可以看出,计算结果与ZEMAX给出的结果数值基本一致。

 

(11) 计算每个面的垂轴色差系数C2

其中,

由已知的S3、S4、A和A——可以求出各个面的垂轴色差系数C2,如下表:

Surf #

C2

1

-0.01103

2

0.029574

3

-0.04029

4

0.038305

5

-0.02679

6

0.010041

Total

-0.00019

具体计算过程,如下图:

再与ZEMAX Seidel Coefficient中的CTR(CT)对比,如下图:

可以看出,计算结果与ZEMAX给出的结果数值基本一致。

 

(12) 汇总

由这个柯克物镜的结构参数,计算得来的Seidel像差系数汇总如下表:

与ZEMAX的计算结果对比:

Seidel像差系数的汇总数据来看,球差S1、像散S3、场曲S4和垂轴色差C2的数值和符号都一致;但彗差S2、畸变S5和轴向色差C1的数值一致但符号相反。

 

 

应该注意的是,我们使用的是近轴数据来计算 Seidel 像差系数。这点对于初学者可能会产生困惑,即像差是由根据定义没有像差的光线(近轴光线)计算出来的。

计算 Seidel像差需要的所有变量都是近轴参数,即近轴边际光线以及近轴主光线的高度和角度。

Seidel像差只能适用于所有面都是standardsurface的系统。

利用Seidel像差公式可以分析镜头的像差特性,而光线追迹,还是很难给出这个分析。

Seidel像差系数的计算过程值得好好钻研,以充分理解这些方程的应用。



路过

雷人

握手
2

鲜花

鸡蛋

刚表态过的朋友 (2 人)

最新评论