光学喵-光学课堂 首页 资讯 查看内容

光学设计中的数字之美

2022-4-18 18:59| 发布者:Davis| 查看:2691| 评论:0|原作者: 静水流深光学

摘要:本文介绍了光学设计中数字之美,特别是公差分析中的光圈与曲率半径公差之间的转化公式,同时分享了一位朋友静下心来推导出的手稿,并进行了整理。这篇文章将帮助读者更好地理解光学设计中的关键概念和思维方法。

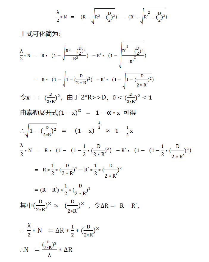
  前几天写了一个光学设计公差分析中的光圈与曲率半径公差之间转化的帖子“公差分析中曲率半径公差与光圈的换算”,最后公式的转化未贴出来,昨天居然有一个之前我们公众号的粉丝,居然轻而易举推出了发给我了,非常赞,自己写帖子的时候也推了下 ,虽然推出了结果,但是过程太过潦草,也没弄出来,如下是这位朋友推导的手稿,只能说光学设计需要的就是这种能静下去的思维!

 


    后来为了更好的展示,请这位朋友对公式整理了下word版本,如下所示:




路过

雷人

握手

鲜花

鸡蛋

最新评论