光学喵-光学课堂 首页 资讯 查看内容

非球面光学系统的计算与ZEMAX演示

2022-4-22 17:25| 发布者:Davis| 查看:3450| 评论:0|原作者: 静水流深光学

摘要:本文介绍了非球面光学系统的设计与计算,并结合ZEMAX演示了如何校正像差,特别是对于口径大的行业如天文学的应用。同时探讨了卡塞格林系统的结构,凹面与双曲面的作用,以及如何利用MATLAB进行计算。最后,展示了点列图,说明轴上完全校正像差,轴外进行球差校正,反射系统没有色差的情况。

随着光学检测能力的提高,非球面的加工已经不是特别有难度的工作了,所以在光学设计中引入非球面已经是稀疏平常之事了。当然非球面的加工有多种多样,传统冷加工,模压等等。

 非球面在光学设计中对于像差校正能力是相当卓越的,如果非球面位于或接近于系统的孔径光阑处,将主要影响或有利于球差的校正;非球面远离光阑时,有利于轴外像差(彗差、像散、畸变等)的校正。

另外,根据瑞利判据,可以知道光学系统的入瞳越大,光学系统的分辨率将越大,但是玻璃透镜口径做大,难如登天,所以在需要口径较大的行业,例如天文行业,拍摄恒星等需要较高的分辨率,口径都是米这个量级的,因此多采用反射镜,规避了透镜口径难做大的一缺陷,当然也失去了很多优点。

本讲主要是结合非球面和口径大这样一个切口,对非球面进行一些讲述与演示。正好利用最近刚接触的经典的卡塞格林系统。之前我们公众号有一个朋友投了一个关于三反光学系统的初始结构计算,也可以参考。

      本帖根据潘君骅院士的《光学非球面的设计、加工与检验》一书来进行的,如下这是经典卡塞格林系统的基本光路。

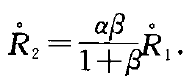
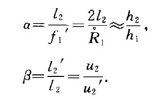
      首先,需要定义两个量,一个是α,一个是β。α表示的次镜离第一焦点的距离,也可以认为是遮拦比。β则是次镜的放大倍率,系统焦距除以主镜焦距,或者系统F数除以主镜F数。

      根据这两个公式及高斯光学的一些公式,可以推导得到,主镜和次镜的R相对关系如下:

      作为最经典的卡塞格林系统来说,主镜采用的是抛物面,可以采用无像差检验的方法,比较容易加工与检验,而次镜则是双曲面,这也是经过计算得到的,可以去查看上文说的书籍,此书籍目前绝版了,网络上只能购买到影印版,这里提供的是电子版讲义,可以自行打印学习。

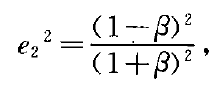
经过一系列的像差校正公式计算,可以得到,次镜的圆锥系数,如下所示:

       从这个公式也可以看出,主镜是凹面,次镜是凸面,次镜将主镜的焦距放大,此时的次镜放大倍率是小于-1的,所以次镜是凸的双曲面。

最后只需要一个两镜之间的距离公式即可了,如下所示:

 接下来就用一组数据进行计算,来用ZEMAX进行演示一下计算结果,这里对上面的参数进行一定的给定:


 在潘院士这本书上,推荐的主镜F数是3左右,这里给定的是3,次镜遮拦比一般要求不高于30%,根据这些参数与上面的公式进行计算,这里利用MATLAB编写的程序进行计算,需要程序的可以微信联系(时效仅发帖当天),程序计算结果如下截图所示:

      接下来,只需要将这些参数输入到ZEMAX中即可,如下所示,即为输入到zemax中的结果,需要程序的可以微信联系(时效仅发帖当天),如下所示:

      另外,可以查看此时点列图,因为此时轴上是完全校正像差的,是理想成像的,轴外视场只进行了球差校正,如果轴外需要校正彗差和像散则需要引入三镜或者一些透镜进行校正,另外反射系统是没有色差的:




路过

雷人
1

握手

鲜花

鸡蛋

刚表态过的朋友 (1 人)

最新评论