光学喵-光学课堂 首页 资讯 查看内容

薄透镜的形状因子与共轭因子

2022-4-26 17:56| 发布者:Davis| 查看:1792| 评论:0|原作者: 小小光08

摘要:在许多情况下,把镜头看成是由一些薄透镜组成而不是由一系列的表面组成是非常有用的。此时,我们假设了透镜的厚度是无穷小,即近轴光线与透镜的两个表 ...

在许多情况下,把镜头看成是由一些薄透镜组成而不是由一系列的表面组成是非常有用的。此时,我们假设了透镜的厚度是无穷小,即近轴光线与透镜的两个表面相交的高度相等。
实际透镜的厚度不可能那么小,但是利用这个假设推导出来的结论,通常对很多实际的透镜都是成立的。
在薄透镜中,相关的变量只有两个曲率c1、c2和折射率n,如图1所示。
图1:薄透镜
 
对于薄透镜系统,我们定义两个变量。
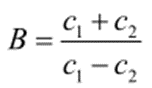
第一个变量是薄透镜的形状因子B,如下:
如图2所示,这是一个非常简便的参数。对于第一个表面是曲面的平凸透镜,其形状因子为+1;一个等凸透镜(或者等凹透镜)的形状因子为零;第一个表面是平面的平凹透镜的形状因子为-1。
 
图2:薄透镜的形状因子
 
几乎在所有的光学设计问题中,透镜的形状因子都是一个非常有用的,自由度非常大的设计参数。
对于近轴,透镜的形状因子可以随意改变,因为只要光焦度恒定,那么其之后所有面的近轴主光线和近轴边际线都不会受到影响。这意味着镜头其他部分的Seidel像差不会发生变化。
而且,一些像差与形状因子有关,而另一些与形状因子无关。这个性质在光学设计中是非常重要的。
 
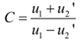
第二个变量是薄透镜的共轭因子,其定义为:
这个共轭因子与透镜的横向放大率有关。
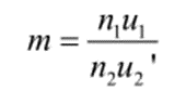
由Lagrange不变量可知,横向放大率m为:
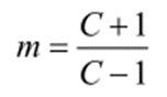
假设透镜在空气中,那么物空间和像空间的折射率都为1。因此共轭因子为:
即放大率为:
 
图3:薄透镜的共轭因子
 
在光学设计中,共轭因子不像形状因子那样有用,因为薄透镜的放大率通常已经被它的基本结构限定了。因此,它不是一个很自由的变量。但是,它可用于指导设计者解决一些对放大率有要求的镜头。


路过

雷人

握手

鲜花

鸡蛋

最新评论