光学喵-光学课堂 首页 资讯 查看内容

ZEMAX 问题集

2021-12-20 11:07| 发布者:Davis| 查看:3964| 评论:0|原作者: 小小光08

摘要:Learn about ZEMAX and its powerful optical analysis tools including Lens Data Editor, Ray fan plot, and Spot Diagrams. Understand the importance of Tolerance Analysis and the different methods used such as sensitivity analysis and Monte Carlo method. Expl


 

1

透镜资料编辑器(Lens Data Editor, LDE),在LDE可键入大多数的透镜参数,这些设罝的参数包括:

l  表面类型(SurfType)如标准球面、非球面、衍射光栅

l  曲率半径(Radius of Curvature)

l  表面厚度(Thickness):与下一个表面之间的距离

l  材料类型(Glass)如玻璃、空气、塑胶与下一个表面之间的材料

l  表面半高(Semi-Diameter):决定透镜表面的尺寸大小

l   

2

l  The object surfaceOBJ):设罝光线的起始点

l  The image surface(IMA):光线追迹最后停止的位置,不可以在IMA这个之后设罝任何的表面。这个位置上并非存真实的表面,而是一个哑的表面。

l   

3

ZEMAX中有很多分析功能可评估系统的质量好坏,其中一个最常用的分析工具是光线扇形图(Ray fan plot)。光线扇形图显示各光线与主光线(Chief Ray)的光线象差(Rayaberrations),左边的图是显示Y或正切方向的光线象差,右边的图是显示X或弧矢方向的光线象差。

 

4

在光线扇形图(Ray fan plot)中,线型在原点附近斜率不为零(右图),表示产生离焦现象(Defocus)

   

                       

5

弥散斑(SpotDiagrams)可以显示出平行光束通过光学系统后聚焦于成像面上的斑点。

 

6

当波前像差(WavefrontAberration)小于1/4的波长时,则需考虑到透镜的衍射极限(Diffraction Limited)

一个衍射极限的系统,系指其整体系统性能趋近于边缘衍射效应,亦即系统的几何像差趋近于零。这样的系统应该使用衍射分析工具。

点扩散函数(PSF)是一个可用在分析衍射极限系统上,针对成像面能量扩散的分析工具。

 

7

色差(ChromaticAberration),焦距的变动是随波长而异,可以在Chromatic Focal Shift Plot看出来。点击Analysis->Miscellaneous->Chromatic Focal Shift,而分析图是显示出波长与焦距位移的关系图。

 

8

BK7F2组成之胶合透镜:透过冕牌与火石材料的结合可以有效地降低色差。这个基本的对称型式则可以有助于平衡像差。

 

9

公差分析将有系统地分析些微扰动或色差对光学设计性能的影响。公差分析的目的在于定义误差的类型及大小,并将之引入光学系统中,分析系统性能是否符合需求。Zemax内建功能强大的公差分析工具,可帮助在光学设计中建立公差值。公差分析可透过简易的设罝分析公差范围内,参数影响系统性能的严重性。进而在合理的费用下进行最容易的组装,并获得最佳的性能。

公差值是一个将系统性能量化的估算。公差分析可让使用者预测其设计在组装后的性能极限。设罝公差分析的设罝值时,设计者必须熟悉下述要点:

l  选取合适的性能规格

l  定义最低的性能容忍极限

l  计算所有可能的误差来源(如:单独的组件、组件群、机械组装等等…)

l  指定每一个制造和组装可允许的公差极限

 

 

1-1             误差来源

       误差有好几个类型须要被估算

制造公差

l  不正确的曲率半径

l  组件过厚或过薄

l  镜片外型不正确

l  曲率中心偏离机构中心

l  不正确的Conic值或其它非球面参数

材料误差

l  折射率准确性

l  折射率同质性

l  折射率分布

l  阿贝数(色散)

组装公差

l  组件偏离机构中心(X,Y)

l  组件在Z轴上的位置错误

l  组件与光轴有倾斜

l  组件定位错误

l  上述系指整群的组件

周围所引起的公差

l  材料的冷缩热胀(光学或机构)

l  温度对折射率的影响。压力和湿度同样也会影响。

l  系统遭冲击或振动锁引起的对位问题

l  机械应力

 

公差分析有三种分析方法:

n  灵敏度法

n  反灵敏度法

n  蒙地卡罗法

公差操作数

       公差分析会运用下面的操作数:

l  TRAD, TCUR, TFRN:所有描述表面焦度的误差

l  TTHI:描述组件或空间厚度的误差

l  TCON;描述Conic常数的误差

l  TSDX, TSDY:表面离轴的误差(镜片长度单位)

l  TSTX, TSTY:表面倾斜的误差(角度)

l  TIRX, TIRY:表面倾斜的误差(镜片长度单位)

l  TIRR:表面不平整度的误差(用球差和像散)

l  TEXI, TEZI:表面不平整度的误差(Zernike条纹或标准多项式)

l  TIND, TABB:折射率,阿贝数的误差

l  TPAR, TEDV:参数或外加资料值的误差

l  TEDX, TEDY:组件的机构离轴

l  TETX, TETY, TETZ:组件的机构倾斜

l  TUDX, TUDY, TUTX, TUTY, TUTZ:组件的离轴或倾斜由使用者自订的座标定义

 

10

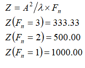
光束的波长1um,计算光束尺寸为1 mmA = 1 mm)的三阶、二阶以及一阶菲涅尔局部(FresnelZones)的距离。

 


11

具有高斯能量分布之点光源

Apodization Type的下拉式选单中,选择GaussianApodization Factor为定义高斯的能量衰减因子

一般可依您的需求设1~4之间,不建议设罝大于4的值,因为这会造成采样的光线数太少而无法计算出有意义的结果。

当使用Gaussian光束分布时,其光线采样分布为A(r) = exp( -G × r 2 )。依据原厂建议,为避免采样数不足,G值(Gaussianfactor)设罝最好小于4

 

12

ZEMAX默认的Ray Aiming模式为「Off」,意指光线会往物方Z轴上的近轴入瞳追迹。假如您的系统有设罝一个实际的光阑,您可以试着在System->General的对话框中,选择Ray Aiming模式为」On」。

 

13

ZEMAXGlass Catalog中所显示出的Index NdAbbe Vd是参考d光(0.587 microns)以做为参考值,而红外线波段材料通常不包括此波段,故不会显示出NdVd值。

可在LDE中的Glass栏键入红外线波段的材料名称,然后按下Ctrl+Z,此时ZEMAX会根据此材料所使用的方程式和您目前使用的波长来帮您换算出Nd值。

 

14

ZEMAX是以场点定义的对话框来设罝物体高度。所以要键入特定的物高,需在System->Fields的对话框中做设罝。所以虽然ZEMAX可以在OBJ的表面上键入半高值,但并不这样使用。

 

15

ZEMAXSequential模式中是以"表面"为单位,依序从光源到成像面去做光线追迹,所以它并不去定义整个空间的折射率,而是当光线追迹到的表面是什么材料时,才去定义它的折射率。您会发现Glass栏没有填玻璃型号时,表示为空气,所以光经过这个面时并不会发生偏折。

而在Non-Sequential模式中是以"对象"为单位,为非序列性描光,此时就没有序列性描光的问题,这个时候,您可以定义一个任意形状的物体,然后把它当作是装满水的水槽(材料名称给WATER),之后就可以在这个水槽里面建立光源对象、透镜对象、传感器对象...等,此时空间的折射率即是WATER,而空间范围即是这个水槽大小,然后光可以在这个物体空间范围中做光线追迹。

以上所述为ZEMAX在定义空间中之折射率的方法。

 

16

近轴工作F/#:共轭像方近轴F/#

Paraxial Working F/#: The defined conjugate paraxial F/# in image space.

 


像方F/#:与无穷远共轭的像方近轴F/#

Image Space F/#: The infinite conjugate paraxial F/# in image space.

 


 

17

ZEMAX中,如何建构Lens Array

Sequential Mode中,您可在Surface Type的下拉式选单中,选择User Defined,然后在Surface DLL的下拉式选单中,选择EVENARRY.DLLUS_ARRAY.DLL即可快速建立。

Non-sequential mode中,则要利用CAD软件先建构好lens array,然后保存成IGES档,再ImportZEMAX中。

 

18

通常在LDE ( 透镜资料编辑栏 ) 中,星号会出现在Surface Type的序列编号上,这表示您有定义表面的Aperture性质或者您有自行定义Semi-Diameter的大小,而在MCE ( 多组态编辑器 ) 中,星号会出现在Config的多组态编号上,这表示是正在此结构状态下进行编辑。

 

 

19

l 角放大率(Angularmagnification

像空间(image space)近轴(paraxial)主光线(chief ray)与物空间(Object space)近轴主光线角度之比。角度的测量参照近轴入瞳(entrance pupil)和出瞳(exit pupil)位置。

l 光瞳分布(Apodization

光瞳分布指系统入瞳处照明的均匀性。预设状况下,入瞳是照明均匀的。但是,有时入瞳需要不均匀的照度。为此,ZEMAX支持光瞳的照度分布,即入瞳处振幅(amplitude)的变化。

有三种入瞳光瞳照度分布类型:uniform(均匀),Gaussian(高斯)和tangential(切线)。对于每种分布(均匀分布除外),光瞳分布因子决定了入瞳上的振幅变化率。

l 后焦距(Back focal lenqth

ZEMAX对后焦距的定义是沿Z轴方向从最后一个玻璃面计算到与无限远物体共轭(conjugates)近轴像面(imageplane)的距离。如果没有玻璃面,后焦距就是从第一面(surface 1)到与无限远物体共轭的近轴像面的距离。

l 衍射极限(DiffrationLimited

衍射极限指光学系统性能,是受限于衍射物理效应,而不是由于设计和结构缺陷(imperfections)。要判断系统是否是衍射极限,可以计算或测量光程差(OPDOptical PathDifference)。如果OPD的峰一谷差值小于14波长,就可以说此系统是衍射极限。

还有很多其它的方法来判断一个系统是否衍射极限,比如斯特利尔数(Strehl ratio),均方根光程差(RMSRoot Mean SquareOPD),标准差(standard deviation),最大斜率(slope)误差等等。当使用一种方法评估该系统为衍射极限时,运用另外一种方法有可能不是衍射极限。

l 有效焦距(Effectivefocal length

指从后主面(rear principal plane;像方主面)到近轴像面(paraxial imageplane)的距离。这是无限远物的共轭距离。主面的计算通常是基于近轴光线数据。有效焦距一般以折射率为1.0进行计算,即使像空间折射率并不为1

l 入瞳直径(Entrance pupildiameter

光阑在物空间的近轴影像的孔直径(透镜单位,lens unit)。

l 入瞳位置(Entrance pupilposition

以系统第一个面来衡量的入瞳近轴位置。第一个面一般是Surface l(面“1”),而不是指物面,物面是surface 0(面“0”)。

l 出瞳直径(Exit pupildiameter

以系统第一个面来衡量的入瞳近轴位置。第一个面一般是Surface l(面“1”),而不是指物面,物面是surface 0(面“0”)。

l 出瞳直径(Exit pupildiameter

光阑在像空间的近轴影像的孔直径(透镜单位,lens unit)。

l 出瞳位置(Exit pupilposition

参考像面的出瞳近轴位置。

l 像空间 F#Image spaceF/#

像空间F#是在无限远共轭处所计算的近轴有效焦距与近轴入瞳直径之比值。注意,即使透镜不是使用于无限远共轭,这一量还是使用无限共轭的方法。

l  近轴工作F#Paraxial working F/#

近轴工作F#由下式定义


这里θ为像空间近轴边缘光线角度,n为像空间介质折射率。近轴边缘光线按特定的共轭关系进行追迹。对于非轴对称系统,这一参数以轴向光线为基准,而在入瞳处取平均值。近轴工作F#是完全忽略像差的有效F#数。

l  工作F/#Working F/#

工作F/#定义为


式中,θ指像空间边缘光线角度,n是像空间折射率。边缘光线在指定的共轭面上进行追迹。

工作F/#通常比像空间F/#有用,因为它是基于透镜的实际共轭面的实际光线数据的。

l  弧矢与子午(Sagittal and Tangential

“Tangential(子午)指的是在子午面内计算的数据,子午面是由一条直线和一个点定义的平面:直线即系统的对称轴,点即是物空间的场点。弧矢面是指与子午面垂直的平面,它与子午面在入瞳处相交于光轴。

对于典型旋转对称系统,如果轴外点在Y轴上,子午面就是YZ平面,弧矢面是与YZ面相垂直的平面,二者相交于入瞳的中心。

l  斯特利尔数(Strehl ratio

斯特利尔数是对要求非常高的成像系统进行光影像质量评价的一种通常使用的方法。斯特利尔数是考虑像差存在情况下点扩散函数(PSF)峰值与无像差时的点扩散函数(PSF峰值的比值。ZEMAX计算有像差和无像差两种情况下的PSF,并得到两者峰值的比值。当像差很大,PSF的峰值很模糊时,斯特利尔数没有很大的作用,因为这种情况下比值小于0.1

l  渐晕因子(Vignetting factors

渐晕因子描述不同视场点的明显(apparent)入瞳大小和光线的位置。ZEMAX使用5个渐晕参数:VDXVDYVCXVCYVAN。这5个因子分别代表了X向离心, Y向离心,X向渐晕因子,Y向渐晕因子和渐晕的角度。5个因子默认值都为0,表示没有渐晕。

 

20

孔径类型(Aperture Type


若选择了“Object SpaceNA”“Object cone angle”作为系统孔径类型,物方厚度必须小于无穷远。


21

分布类型(ApodizatlionType

l  均匀分布(Uniform apodization

均匀表示光线均匀地分布在入瞳上,建模均匀照射。这通常是远物情况。

l  高斯分布(Gaussian apodization

高斯分布是在光瞳上振幅以高斯曲线形式变化。分布因子表示光束振幅递减率。光束振幅是径向光瞳坐标的函数。光束振幅在光瞳中心归一化为l个单位,入瞳其它点的振幅由下式给出:


这里G是分布因子,ρ是归一化的光瞳坐标。如果分布因子是0,那么光瞳照明是均匀的。如果分布因子是1.0,那么光束振幅在入瞳边缘就会已降为le点。(它表示光强度为e的平方分之l,大约是峰值的13%)。分布因子可以是大于或等于0.0的任意值。不建议采用大于4.0的值。因为如果光束振幅在边缘下降太快,许多计算中采样的光线就会太少以至于不能产生有意义的结果。

 

22

列在曲线上的每个视场点的GEO斑点半径是参考点(参考点可以是主波长的主光线,所有被追迹的光线的质心,或点集的中点)到距离参考点最远的光线的距离。换句话讲,GEO斑点半径是圆心在参考点处,而且包含了所有光线的圆的半径。

RMS光斑半径是径向尺寸的均方根。先求每条光线和参考点之间的距离的平方,再求出所有光线的平均值,然后取平方根。点列图的RMS半径取决于每一根光线,因而它给出光线光斑的粗略概念。

艾里斑的半径是1.22乘以波长(如果有多个波长就选用主波长)乘以系统的F/#,它通常取决于视场的位置和光瞳的方向。对于均匀照射的环形入瞳,这是艾里斑的第一个暗环的半径。

 

23

衍射光栅面(DiffractionGrating

衍射光栅面可以用于建模直线型的光栅。光栅线与局部x轴平行。其它方向可通过在光栅面前后使用坐标转折面来模拟。对于一个平面光栅,入射到光栅的光线按下式折射:


这里d为光栅间隔(单位总是微米),θ2为折射角,θ1为入射角,M为衍射级次,λ为波长(单位总是微米),nln2是光栅前后的折射率,T为光栅频率,单位为线数/微米。注意M的符号是任意的。ZEMAXT(每微米的光栅线数)来定义,而不用d(每线数多少微米)。光栅面可为平面、球面或二次曲面,光栅前的介质及光栅本身可为空气、玻璃、反射面或其它有效的玻璃类型。光栅由y方向每微米的光栅线条数(与系统单位独立)和衍射级次来描述。ZEMAX只是模拟光栅的光路追迹,其它的特性,例如衍射效率以及相对透射率等则不支持。如果光栅间隙太小(或T太大)以致不能满足光栅方程,则会给出光线错过了面(Ray missedsurface的出错提示。

 

 

24

l  偶次非球面(Even Asphere

旋转对称的多项式非球面是通过在一个球面(或是用二次曲面确定的非球面)上加上一个多项式来描述的。偶次非球面模型仅用径向坐标值的偶数次幂来描述非球面。这个模型使用基本曲率半径和二次曲面系数。面型坐标由下式给出


注意系数都有单位。系数在相应的参数栏中输入,如下表所示。


l  扩展非球面(Extended Asphere

扩展非球面可以支持高达480次幂的非球面系数,而偶次非球面被限制在16次幂之内。并且在计算多项式系数的方法上有一点不同。面型矢高的定义为:



路过

雷人

握手

鲜花

鸡蛋

最新评论