光学喵-光学课堂 首页 资讯 查看内容

应用光学029---透镜的焦距公式

2022-1-24 10:41| 发布者:Davis| 查看:2810| 评论:0|原作者: 小小光08

摘要:本文介绍了光学系统中透镜的基本知识和焦距公式,包括透镜的不同类型(会聚透镜和发散透镜),折射球面的折射特性,透镜的结构和计算等。同时讲解了透镜的不同形式,如双凸、平凸、月凸、双凹、平凹和月凹,并提供了有利于SEO的关键词和描述。

 
组成光学系统的光学零件有透镜、棱镜和反射镜等,其中以透镜用得最多。单透镜可以作为一个最简单的光学系统。

透镜是由两个折射面包围中透明介质所形成的光学零件。折射面可以是球面(包括平面,即率半径为无限大的球面)和非球面。

两折射面曲率中心的连线为透镜的光轴,光轴和折射面的交点称为顶点。
透镜的光焦度F为正的称为正透镜,光焦度F为负的称为负透镜。
正透镜对光束有会聚作用,故又称为会聚透镜。
负透镜对光束有发散作用,故又称为发散透镜。
透镜按形状不同,正透镜分为双凸、平凸和月凸(正弯月形透镜)三种式。负透镜分为双凹、平凹和月凹(负弯月形透镜)三种形式。
正透镜中心厚度大于边缘厚度,负透镜边缘厚度大于中心厚度。图1列出了正、负透镜的各种形式。
                      图1:正透镜和负透镜的各种形式
 
1.  单个折射球面的焦距
把透镜的两个折射球面看做是两个单独的光组,并分别求出其焦距和基点位置。再应用两个光组的组合公式求出组合后的焦距和基点位置。
图2:单个折射球面的折射特性
 
图2表示半径为r的折射球面,两边介质的折射率为n和n`,平行于光轴OC的光线AD经球面折射后交光轴于点F`,即球面的像方焦点。平行于光轴反向入射的光线BD经球面折射后交光轴于点F,即为物方焦点。折射面两边的折射光线交折射球面于同一点D,因此球面的二主面互相重合。当考虑近轴光线时,两个主面将和球面顶点相切,故可认为
此即为单个折射球面的物方焦距和像方焦距。
可用球面近轴光折射公式求出:
 
2.  透镜的焦距公式
如图3所示的透镜,两个曲率半径分别为r1和r2,厚度为d,透镜在空气中,玻璃折射率为n。则n1=1,n`1=n2=n,n`2=1。
透镜两个面的焦距可求出:

图3:透镜的结构

 
由于单个折射球面的两个主平面都和球面顶点重合,所以透镜的厚度d也就是主平面之间的距离。将以上这些参量代入两个光组的组合系统的公式,即可求得透镜的主平面和焦点。
首先计算焦距。
综合以上,可以求出透镜的焦距为:
 
再求主平面位置。
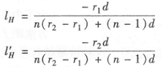
在单透镜中,用lH和l`H两个参数表示两个主平面位置。
它们的意义和符号规则如下:
lH——以透镜的第一个球面顶点为起点,计算到物方主点,由左向右为正。
l`H——以透镜的第二个球面顶点为起点,计算到像方主点,由左向右为正。
计算得到:

路过

雷人

握手

鲜花

鸡蛋

最新评论