光学喵-光学课堂 首页 资讯 查看内容

波片理论

2022-2-9 16:27| 发布者:Davis| 查看:364| 评论:0|原作者: 小小光08

摘要:波片理论是利用双折射原理制造的光学器件,可以改变光波的偏振态。其中标准波片和圆双折射波片是两种常见的工作模式,多级波片和零级波片是波片的不同级别。聚合物波片提供了大角度视场和良好的波长稳定性,消色差波片具有较大的延迟容差。

波片(Waveplates)是利用双折射在入射波的正交偏振场分量产生不相等的相移,使一种偏振态转换为另一种偏振态。
有两种双折射。当线性双折射(Linear Birefringence)时,两种正交极化线偏振态的折射率(以及相位延迟)是不同的,这是标准波片(StandardWaveplates)的工作模式。
当圆双折射(Circular Birefringence)时,左右圆偏振分量的折射率和相位延迟是不同的,这是偏振旋转器的工作方式。
 
标准波片:线性双折射
假设由单轴晶体制成的波片,光垂直于光轴入射。
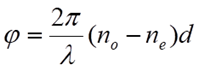
这使得平行于光轴的场分量是一个特殊的波,而垂直于光轴的场分量是一个普通的波。如果晶体是正单轴的,ne >no,则光轴称为慢轴,这是石英晶体的情况。负单轴晶体ne <no,光轴称为快轴。
使用入射场E1来表示传播场E2的方程为:
                                           
其中s和f是沿着慢轴和快轴的单位向量。
这个方程清楚地说明了波片如何在矢量场中起作用的。
为了进一步分析波片的影响,我们去掉测量强度时丢失的一个相位因子,将整个相位延迟赋给慢轴:

双折射色散在波片设计中起着非常重要的作用;
设E1一开始沿X轴偏振,设波片慢轴与X轴夹角为θ,如图1所示。
图1
 
当波片放置在平行偏振器和垂直偏振器之间时,传输由以下公式给出:
注意:θ仅是波片方向的函数,Φ仅是波长的函数;双折射是波长和平板厚度的函数。
由于光波的偏振态是由其正交振动的振幅比与相位差所决定,因此改变这两个参量,就可以改变光波的偏振态
于是,入射的偏振光通过波片后,由于其二垂直分量之间附加了一个相位差,将会改变偏振状态。
图2
 
对于全波片:
将全波片放入光路中,不改变光路的偏振状态。
图3
 
对于半波片:
线偏振光经过半波片后,出射光仍为线偏振光,只是振动面的方位较入射光转过了 2θ角,当θ=45°时,振动面转过 90°。       
因此,半波波片可用作偏振旋转器。
图4
 
对于四分之一波片:
线偏振光通过四分之一波片后,出射光将变为椭圆偏振光。当θ=45°时,出射光为圆偏振光。
图5
 
多级波片(Multple-orderWaveplates)
对于标准波片中全波片、半波片和1/4波片的例子,波片的级数用整数m表示。M>0时,波片称为多级波片。对于m =0,为零级波片。
石英晶体在500 nm附近的双折射约为0.00925。例如,一个0.5毫米厚的石英四分之一波片,一个简单的计算可以表明,它是一个500nm的37λ/ 4的波片,此时m= 18。
多级波片是一种价格低廉且高损伤阈值的方案。
进一步分析表明,0.5毫米石英波片同时为488.2nm波长的19λ/2半波片和466.5nm波长的10λ全波片。
图6
 
图6显示了0.5mm厚石英波片在平行偏振器之间随波长变化的传输情况。
注意相位延迟随波长而变化。因此,多阶波片通常只在其设计波长处有用。
 
零级波片(Zero-orderWaveplates)
如上所述,多阶波片不能用于可调或宽频带源(例如,飞秒激光器)。
零阶波片可以大大提高紧凑、高损伤阈值器件的有效带宽。
以800nm为中心的宽频带半波片的设计为例。当平板在800 nm处有一个π相移时,可获得最大调谐范围。如果用单片石英晶体制成,此时波片的厚度约为45µm,太薄导致不便于制造和处理。解决方法是取两块不同厚度45µm的水晶石英板,将它们与一块的慢轴与另一块的快轴对齐,那这个零阶波片的净相移是π。这两个板可以是空气间隔的或光学接触的。
云母波片是一种廉价的零级波片解决方案,适用于低功耗应用检测方案。
 
聚合物波片(PolymerWaveplates)
聚合物波片提供了良好的大角度视场,因为他们是真正的零阶波片。图7比较了聚合物波片和石英波片的延迟随入射角的变化。聚合物波片在±10°入射角范围内的变化小于1%。
图7
 
波长变化的延迟精度往往是关键问题。例如,一个二极管激光器的中心波长的温漂为±10 nm,它随着温度和驱动条件的变化会引起波长偏移,此时聚合物波片也能保持极好的波片性能。
叠层聚合物波片的温度灵敏度约为0.15 nm/°C,可以在中等温度范围内工作而不会有明显的下降迟缓的准确性。
图8比较了不同波片类型对波长的依赖性。
图8
 
消色差波片(AchromaticWaveplates)
在500 nm处,石英晶体零阶半波片在约50 nm的带宽上具有λ/50的延迟容差。当中心波长为800 nm时,波长带宽增加到100 nm左右。要实现高达300 nm的带宽,需要特殊的设计来校正波长范围内的色散差异。
如果用两种不同的材料来制作零阶或低阶波片,两种材料的色散会相互抵消。因此,与由一种材料制成的波片相比,它的双折射相移可以在更宽的范围内保持恒定。例如,可以使用石英晶体和氟化镁组合来制作消色差波片
 
双波长波片(Dual-wavelengthWaveplates)
双波长波片在许多应用中都有应用。一种常见的应用是用偏振分光器将一种波长的偏振方向旋转90°,而使另一种波长保持不变,从而分离不同波长,这种情况经常应用在非线性倍频或三倍频激光器(1064/532/355/266)中。
一种实现多重延迟的方法是通过仔细选择多重延迟满足波长和延迟条件的波片。这常常导致选择一个相对高阶波片。因此,这些双波长波片在较窄的带宽和温度范围内可以良好工作。
另一种方法是将两个光轴正交的石英波片组合起来,可以有效地创建一个零级波片。在这种结构中,温度依赖关系是波片之间厚度差的函数,从而产生了极好的温度稳定性。
 




路过

雷人

握手

鲜花

鸡蛋

最新评论